知識分享
2025.05.31
應用自動化分裂期胚胎評級軟體於臨床: 預測囊胚形成、整倍體、著床及活產能力
文/茂盛醫院 陳建宏博士、李俊逸醫師
胚胎篩選是生殖醫學領域中非常重要的一環,而近年來縮時攝影 (time-lapse,TL) 技術的應用為胚胎師提供了更多有價值的胚胎發育資訊。這些資訊不僅有助於胚胎形態動力學的分析,也促使胚胎分析軟體的發展。然而,目前在使用這些軟體進行形態動力學分析時,仍需要胚胎師進行手動標註胚胎的發育細節,這增加了工作量並可能帶來主觀判斷上的差異。因此,開發全自動化形態動力學分析與胚胎評級系統是一個具有潛力的策略,可以改善現有軟體的不足之處,並更有效地整合到臨床工作流程中。透過全自動化的系統,可以減少胚胎師的工作負擔,同時提高分析的客觀性和一致性。這將有助於提高胚胎篩選的準確性和效率,進而提升生殖醫學領域的治療成效。
Valera等人採用商用軟體Eeva Test(版本2.3或3.0)來評估受精後64-72小時的第三天(D3)胚胎,以自動標記所需的胚胎分裂時間點。這項研究旨在探討該軟體在不孕症治療中的應用,以幫助選擇最適合進行移植的胚胎。這項研究結果將有助於評估Eeva Test在不孕症治療中的有效性和可靠性。透過自動化標記胚胎分裂時間點,此技術有望提供更精確的胚胎評估,幫助醫生和患者做出更明智的決定。將有助於提高胚胎移植成功率,並降低不孕症治療的風險和成本。然而,需要進一步的研究和臨床試驗來驗證Eeva Test的準確性和可靠性。同時,也需要考慮其他因素,如患者的個人情況和治療需求,以確定該軟體是否適合在不孕症療程中廣泛應用。總的來說,這項研究為探討Eeva Test在不孕症治療中的應用提供了有價值的信息,並為未來的研究和臨床實踐提供了方向。
此研究採用觀察型研究設計,回溯性地分析2018年至2021年在單一生殖中心收集的3736顆胚胎資料。其中1291顆胚胎來自432個卵子捐贈療程,另外1291顆胚胎源自185個著床前基因篩選療程(PGT-A)。這些正常受精胚胎將在TL培養箱中培養,並根據Eeva Test自動化胚胎評級軟體的分析結果,被分成五組,評分從1分(最佳)到5分(最差)。胚胎評級所使用的參數包括P2(t3-t2)、P3 (t4-t3)、年齡和受精後64-72小時的胚胎細胞數等。這些評分結果將用於評估胚胎形成囊胚、整倍體、著床和活產的能力。接著,胚胎將繼續培養至第五或第六天,並根據外觀選擇最佳的囊胚進行移植。根據Eeva Test的評級結果,將囊胚生成、著床、活產和整倍體率分組並進行比較。研究使用廣義估計方程式(GEEs)分析胚胎評級與相關臨床結果之間的關聯性。最後,將Eeva Test的預測能力與傳統形態評估方式進行比較,並探討整合兩者以提高預測能力的可能性。
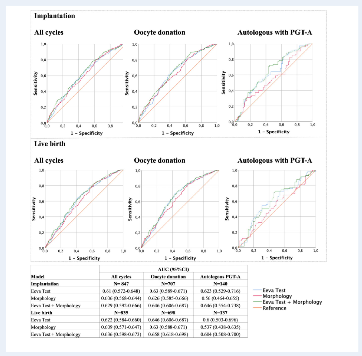
研究結果表明,根據Eeva Test評級,囊胚形成率存在顯著差異,最佳評級組別的囊胚率可達87.5%。通過GEE分析發現,高評級組別相對於低評級組別具有顯著提高的囊胚生成概率,其中最佳評級組別相對於最差評級組別的勝率高達15.849 (P < 0.001)。此外,移植後的著床率和活產率也與Eeva Test評級呈現顯著差異,最佳評級組別的著床率和活產率可達60.2%和48.6%。GEE分析同樣發現,高評級組別相對於低評級組別具有顯著提高的著床和活產概率,勝率分別為2.920(P=0.003)和3.317(P=0.001)。然而,在PGT-A療程中,這種顯著相關性並不存在。在評估各評級方式的預測能力時,發現接收者操作特徵曲線下面積均在0.65以下,其中整合Eeva Test和傳統形態方式的預測能力最佳,AUC為0.629–0.636。
總結,這項研究結果表明利用Eeva Test評級可以有效預測囊胚形成率、著床率和活產率,並且高評級組別顯著優於低評級組別。然而,在PGT-A療程中,這種相關性並不明顯。整體而言,雖然研究仍存在一些限制,但在分析較大樣本數的情況下,TL培養系統和全自動化胚胎評級軟體在囊胚篩選方面顯示出潛力,但預測效力仍有進一步改善的空間。
期刊出處
Human Reproduction, Vol.38, No.6, pp. 1060–1075, 2023
Clinical validation of an automatic classification algorithm applied on cleavage stage embryos: analysis for blastulation, euploidy, implantation, and live-birth potential
參考文獻
Valera MA, Aparicio-Ruiz B, Pérez-Albalá S, Romany L, Remohí J, Meseguer M. Clinical validation of an automatic classification algorithm applied on cleavage stage embryos: analysis for blastulation, euploidy, implantation, and live-birth potential. Hum Reprod. 2023 Jun 1;38(6):1060-1075. doi: 10.1093/humrep/dead058. PMID: 37018626.

Fig. 1. Performance metrics for the generalized estimating equations (GEEs) for implantation and live-birth prediction. Receiver operating characteristic (ROC) curves and area under the ROC curves (AUCs) of the GEE modelled for assessing the performance of the two classification systems, Eeva Test and morphological evaluation, as well as a combination of both, for implantation and live-birth prediction. PGT-A: preimplantation genetic testing for aneuploidies.
胚胎篩選是生殖醫學領域中非常重要的一環,而近年來縮時攝影 (time-lapse,TL) 技術的應用為胚胎師提供了更多有價值的胚胎發育資訊。這些資訊不僅有助於胚胎形態動力學的分析,也促使胚胎分析軟體的發展。然而,目前在使用這些軟體進行形態動力學分析時,仍需要胚胎師進行手動標註胚胎的發育細節,這增加了工作量並可能帶來主觀判斷上的差異。因此,開發全自動化形態動力學分析與胚胎評級系統是一個具有潛力的策略,可以改善現有軟體的不足之處,並更有效地整合到臨床工作流程中。透過全自動化的系統,可以減少胚胎師的工作負擔,同時提高分析的客觀性和一致性。這將有助於提高胚胎篩選的準確性和效率,進而提升生殖醫學領域的治療成效。
Valera等人採用商用軟體Eeva Test(版本2.3或3.0)來評估受精後64-72小時的第三天(D3)胚胎,以自動標記所需的胚胎分裂時間點。這項研究旨在探討該軟體在不孕症治療中的應用,以幫助選擇最適合進行移植的胚胎。這項研究結果將有助於評估Eeva Test在不孕症治療中的有效性和可靠性。透過自動化標記胚胎分裂時間點,此技術有望提供更精確的胚胎評估,幫助醫生和患者做出更明智的決定。將有助於提高胚胎移植成功率,並降低不孕症治療的風險和成本。然而,需要進一步的研究和臨床試驗來驗證Eeva Test的準確性和可靠性。同時,也需要考慮其他因素,如患者的個人情況和治療需求,以確定該軟體是否適合在不孕症療程中廣泛應用。總的來說,這項研究為探討Eeva Test在不孕症治療中的應用提供了有價值的信息,並為未來的研究和臨床實踐提供了方向。
此研究採用觀察型研究設計,回溯性地分析2018年至2021年在單一生殖中心收集的3736顆胚胎資料。其中1291顆胚胎來自432個卵子捐贈療程,另外1291顆胚胎源自185個著床前基因篩選療程(PGT-A)。這些正常受精胚胎將在TL培養箱中培養,並根據Eeva Test自動化胚胎評級軟體的分析結果,被分成五組,評分從1分(最佳)到5分(最差)。胚胎評級所使用的參數包括P2(t3-t2)、P3 (t4-t3)、年齡和受精後64-72小時的胚胎細胞數等。這些評分結果將用於評估胚胎形成囊胚、整倍體、著床和活產的能力。接著,胚胎將繼續培養至第五或第六天,並根據外觀選擇最佳的囊胚進行移植。根據Eeva Test的評級結果,將囊胚生成、著床、活產和整倍體率分組並進行比較。研究使用廣義估計方程式(GEEs)分析胚胎評級與相關臨床結果之間的關聯性。最後,將Eeva Test的預測能力與傳統形態評估方式進行比較,並探討整合兩者以提高預測能力的可能性。
研究結果表明,根據Eeva Test評級,囊胚形成率存在顯著差異,最佳評級組別的囊胚率可達87.5%。通過GEE分析發現,高評級組別相對於低評級組別具有顯著提高的囊胚生成概率,其中最佳評級組別相對於最差評級組別的勝率高達15.849 (P < 0.001)。此外,移植後的著床率和活產率也與Eeva Test評級呈現顯著差異,最佳評級組別的著床率和活產率可達60.2%和48.6%。GEE分析同樣發現,高評級組別相對於低評級組別具有顯著提高的著床和活產概率,勝率分別為2.920(P=0.003)和3.317(P=0.001)。然而,在PGT-A療程中,這種顯著相關性並不存在。在評估各評級方式的預測能力時,發現接收者操作特徵曲線下面積均在0.65以下,其中整合Eeva Test和傳統形態方式的預測能力最佳,AUC為0.629–0.636。
總結,這項研究結果表明利用Eeva Test評級可以有效預測囊胚形成率、著床率和活產率,並且高評級組別顯著優於低評級組別。然而,在PGT-A療程中,這種相關性並不明顯。整體而言,雖然研究仍存在一些限制,但在分析較大樣本數的情況下,TL培養系統和全自動化胚胎評級軟體在囊胚篩選方面顯示出潛力,但預測效力仍有進一步改善的空間。
期刊出處
Human Reproduction, Vol.38, No.6, pp. 1060–1075, 2023
Clinical validation of an automatic classification algorithm applied on cleavage stage embryos: analysis for blastulation, euploidy, implantation, and live-birth potential
參考文獻
Valera MA, Aparicio-Ruiz B, Pérez-Albalá S, Romany L, Remohí J, Meseguer M. Clinical validation of an automatic classification algorithm applied on cleavage stage embryos: analysis for blastulation, euploidy, implantation, and live-birth potential. Hum Reprod. 2023 Jun 1;38(6):1060-1075. doi: 10.1093/humrep/dead058. PMID: 37018626.

Fig. 1. Performance metrics for the generalized estimating equations (GEEs) for implantation and live-birth prediction. Receiver operating characteristic (ROC) curves and area under the ROC curves (AUCs) of the GEE modelled for assessing the performance of the two classification systems, Eeva Test and morphological evaluation, as well as a combination of both, for implantation and live-birth prediction. PGT-A: preimplantation genetic testing for aneuploidies.
其他相關訊息
-
18.Mar.2026
非多囊性卵巢症候群女性胰島素阻抗與體外受精結果之關聯性及metformin在改善效果
-
11.Feb.2026
從「棄用」到「救援」:重新定義混亂胚胎的價值






